Κατατέθηκε σήμερα, Δευτέρα 15 Δεκεμβρίου 2025, στη Βουλή το νομοσχέδιο του Υπουργείου Εθνικής Άμυνας με τίτλο «Χάρτης Μετάβασης των Ενόπλων Δυνάμεων στη Νέα Εποχή». Το σχέδιο νόμου περιλαμβάνει εκτεταμένες ρυθμίσεις που αφορούν τη σταδιοδρομία και εξέλιξη Αξιωματικών, μονίμων Υπαξιωματικών και Επαγγελματιών Οπλιτών, τις μισθολογικές απολαβές του στρατιωτικού προσωπικού, την αναδιοργάνωση της ακαδημαϊκής εκπαίδευσης, τη στρατολογία, την εθελοντική στράτευση γυναικών, καθώς και σειρά άλλων διατάξεων.
Το νομοσχέδιο εντάσσεται στη συνολική δέσμη πολιτικών της «Ατζέντας 2030» και είχε παρουσιαστεί από τον Υπουργό Εθνικής Άμυνας, Νίκο Δένδια, ενώ εγκρίθηκε από το Υπουργικό Συμβούλιο που συνεδρίασε υπό τον Πρωθυπουργό Κυριάκο Μητσοτάκη στις 30 Σεπτεμβρίου 2025.
Οι βασικοί στόχοι του Σχεδίου Νόμου
α) η θεσμοθέτηση οργανικών θέσεων των Αξιωματικών των Ενόπλων Δυνάμεων (ΕΔ) κατά Κλάδο των Ενόπλων Δυνάμεων, προέλευση, βαθμό και κατηγορία,
β) η αναδιαμόρφωση της συγκρότησης των Συμβουλίων Κρίσεων των Αξιωματικών,
γ) η αναδιαμόρφωση των προϋποθέσεων παραμονής των Αξιωματικών ανά βαθμό,
δ) η θέσπιση νέων βαθμών των μόνιμων Υπαξιωματικών των Κλάδων και των Κοινών Σωμάτων (ΚΣ) των ΕΔ,
ε) η διενέργεια προαγωγών αποκλειστικά για κάλυψη κενών οργανικών θέσεων ανωτέρων βαθμών,
στ) η θέσπιση νέων βαθμών των Επαγγελματιών Οπλιτών (ΕΠΟΠ) ως Υπαξιωματικών Ειδικής Προέλευσης (ΥΕΠ),
ζ) η ρύθμιση των προϋποθέσεων και της διαδικασίας μετάταξης των μόνιμων Υπαξιωματικών, αποφοίτων των Ανωτάτων Σχολών Μόνιμων Υπαξιωματικών (ΑΣΜΥ), στο σώμα Αξιωματικών,
η) η αναδιάρθρωση των βασικών μισθών και των μισθολογικών κλιμακίων των στελεχών των ΕΔ, τα οποία συνδέονται με τα έτη υπηρεσίας και την κατηγορία προέλευσης,
θ) η δημιουργία μισθολογικών βαθμίδων ανά κατηγορία προέλευσης, στις οποίες αποτυπώνεται η σταδιακή μισθολογική τους εξέλιξη σύμφωνα με τους νέους βαθμούς,
ι) η ενιαία ρύθμιση των ζητημάτων που αφορούν στις καταστάσεις των Αξιωματικών και μόνιμων Υπαξιωματικών και ο σαφής διαχωρισμός των καταστάσεων σε κύριες και πρόσθετες,
ια) η σύσταση της Διακλαδικής Διοίκησης Ακαδημαϊκής Εκπαίδευσης (ΔΙΔΑΕ), ο καθορισμός των αρμοδιοτήτων και των οργάνων της,
ιβ) η σύμπραξη της Σχολής Εθνικής Άμυνας (ΣΕΘΑ) και της Ανώτατης Διακλαδικής Σχολής Πολέμου (ΑΔΙΣΠΟ) με τα Ανώτατα Εκπαιδευτικά Ιδρύματα (ΑΕΙ) και τα Ανώτατα Στρατιωτικά Εκπαιδευτικά Ιδρύματα (ΑΣΕΙ) για την εκπόνηση Προγραμμάτων Μεταπτυχιακών Σπουδών (ΠΜΣ),
ιγ) η ρύθμιση ζητημάτων που αφορούν στην υποχρέωση στράτευσης,
ιδ) η αναμόρφωση της στρατολογικής νομοθεσίας και ιδίως των ρυθμίσεων που αφορούν στη χορήγηση αναβολής σε σπουδαστές δευτεροβάθμιας ή τριτοβάθμιας εκπαίδευσης, στη χορήγηση αναβολής σε μόνιμους κατοίκους εξωτερικού και στην κρίση της δυνατότητας στράτευσης όσων πάσχουν από ψυχικές παθήσεις,
ιε) ο καθορισμός του πλαισίου εκπαίδευσης των οπλιτών,
ιστ) ο καθορισμός διαδικασίας για την επιμόρφωση των οπλιτών στα Κέντρα Διά Βίου Μάθησης (ΚΔΒΜ) των ΕΔ,
ιζ) ο καθορισμός πλαισίου για τις τοποθετήσεις και μεταθέσεις των οπλιτών,
ιη) η ρύθμιση θεμάτων μετεκπαίδευσης εφεδρείας και η θέσπιση του θεσμού του ενεργού εθελοντή έφεδρου,
ιθ) η θεσμοθέτηση εθελοντικής στράτευσης γυναικών,
κ) η παροχή κινήτρου σε ανυπότακτους για κατάταξη στις ΕΔ έως την 31η.12.2027,
κα) η ρύθμιση θεμάτων υγειονομικής εξέτασης και απόλυσης των ΕΠΟΠ και
κβ) η ρύθμιση θεμάτων που αφορούν στη Στρατιωτική Δικαιοσύνη.
Συνοψίζοντας, κεντρικός στόχος του νομοσχεδίου είναι η δομική αναμόρφωση του πλαισίου λειτουργίας και εξέλιξης των Ενόπλων Δυνάμεων. Μεταξύ άλλων, προβλέπεται η θεσμοθέτηση οργανικών θέσεων Αξιωματικών ανά Κλάδο, προέλευση, βαθμό και κατηγορία, καθώς και η αναδιαμόρφωση της σύνθεσης και λειτουργίας των Συμβουλίων Κρίσεων.
Παράλληλα, επανακαθορίζονται οι προϋποθέσεις παραμονής των Αξιωματικών ανά βαθμό, θεσπίζονται νέοι βαθμοί για τους μόνιμους Υπαξιωματικούς των Κλάδων και των Κοινών Σωμάτων, ενώ οι προαγωγές περιορίζονται αποκλειστικά στην κάλυψη κενών οργανικών θέσεων ανώτερων βαθμών.
Ιδιαίτερη πρόβλεψη υπάρχει για τους Επαγγελματίες Οπλίτες (ΕΠΟΠ), οι οποίοι αποκτούν νέους βαθμούς ως Υπαξιωματικοί Ειδικής Προέλευσης, καθώς και για τη μετάταξη αποφοίτων ΑΣΜΥ στο σώμα των Αξιωματικών, με σαφώς καθορισμένες προϋποθέσεις και διαδικασίες.
Μισθολογικές ρυθμίσεις και υπηρεσιακές καταστάσεις
Το νομοσχέδιο εισάγει αναδιάρθρωση των βασικών μισθών και των μισθολογικών κλιμακίων, τα οποία συνδέονται πλέον άμεσα με τα έτη υπηρεσίας και την κατηγορία προέλευσης. Δημιουργούνται μισθολογικές βαθμίδες ανά κατηγορία, ώστε να αποτυπώνεται η σταδιακή μισθολογική εξέλιξη σύμφωνα με το νέο βαθμολόγιο.
Παράλληλα, θεσπίζεται ενιαίο πλαίσιο για τις υπηρεσιακές καταστάσεις Αξιωματικών και μονίμων Υπαξιωματικών, με σαφή διαχωρισμό σε κύριες και πρόσθετες καταστάσεις, επιδιώκοντας μεγαλύτερη διαφάνεια και ομοιομορφία.
Ακαδημαϊκή εκπαίδευση και στρατολογία
Σημαντική καινοτομία αποτελεί η σύσταση της Διακλαδικής Διοίκησης Ακαδημαϊκής Εκπαίδευσης (ΔΙΔΑΕ), με καθορισμένες αρμοδιότητες και όργανα διοίκησης. Προβλέπεται επίσης η σύμπραξη της ΣΕΘΑ και της ΑΔΙΣΠΟ με ΑΕΙ και ΑΣΕΙ για την υλοποίηση Προγραμμάτων Μεταπτυχιακών Σπουδών.
Στο πεδίο της στρατολογίας, το νομοσχέδιο ρυθμίζει εκ νέου ζητήματα που αφορούν την υποχρέωση στράτευσης, τις αναβολές για σπουδαστές, τους μόνιμους κατοίκους εξωτερικού, καθώς και την αξιολόγηση της δυνατότητας στράτευσης ατόμων με ψυχικές παθήσεις.
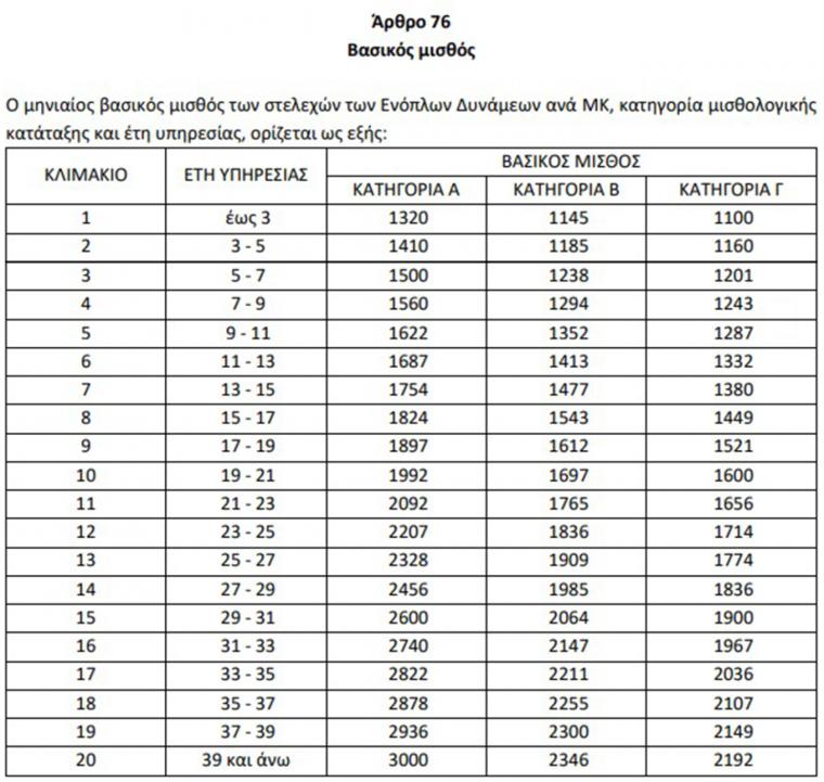
Οι μισθοί στις Ένοπλες Δυνάμεις
Για τη μισθολογική εξέλιξη των στελεχών όλων των κατηγοριών, προβλέπεται ότι η μετάβαση από το κατώτερο στο αμέσως ανώτερο μισθολογικό κλιμάκιο απαιτεί τρία έτη υπηρεσίας στο πρώτο κλιμάκιο και δύο έτη σε κάθε επόμενο. Ο μηνιαίος μισθός καθορίζεται ανά μισθολογική κατηγορία και έτη υπηρεσίας, σύμφωνα με τις νέες διατάξεις.

Αλλαγές στο Βαθμολόγιο και επιπτώσεις
Μία από τις πλέον συζητημένες ρυθμίσεις αφορά το νέο Βαθμολόγιο, το οποίο, σύμφωνα με όσα έχουν γίνει γνωστά, «παγώνει» τις προαγωγές των μονίμων Υπαξιωματικών έως τον βαθμό του Ανθυπασπιστή. Μέχρι σήμερα, οι συγκεκριμένοι υπαξιωματικοί μπορούσαν να ολοκληρώσουν τη σταδιοδρομία τους έως και τον βαθμό του Αντισυνταγματάρχη ή Συνταγματάρχη, εφόσον διέθεταν πτυχίο ΑΕΙ, χωρίς να προβλέπεται μεταβατικό στάδιο.
Το νομοσχέδιο έχει αναδρομική ισχύ, γεγονός που επηρεάζει εν ενεργεία στελέχη τα οποία εισήλθαν στις Ένοπλες Δυνάμεις υπό διαφορετικές προϋποθέσεις. Ιδιαίτερα επιβαρύνονται οι ήδη υπηρετούντες υπαξιωματικοί, καθώς οι Σχολές τους αντιμετωπίζουν ακόμη και το ενδεχόμενο κατάργησης, λόγω απουσίας σαφούς διαδρόμου εξέλιξης.
Χαρακτηριστικό παράδειγμα αποτελεί απόφοιτος ΑΣΣΥ του 2007, ο οποίος προήχθη το 2024 σε Ανθυπολοχαγό και, βάσει των νέων ρυθμίσεων, θα παραμείνει στον ίδιο βαθμό έως την αποστρατεία του το 2040. Αντίστοιχα, ΕΠΟΠ που κατατάχθηκε το 2004 θα προαχθεί σε Επιλοχία Διοικήσεως και θα παραμείνει στον βαθμό αυτό έως το 2039.
Θητεία, αναβολές και εφεδρεία
Το νέο πλαίσιο επεκτείνει τη στρατιωτική θητεία και στις γυναίκες σε εθελοντική βάση, ενώ μεταβάλλεται το περιεχόμενο της εκπαίδευσης των στρατευσίμων με την ένταξη σύγχρονων τεχνολογιών. Προβλέπεται βασική εκπαίδευση 10 εβδομάδων, ειδική εκπαίδευση 4 εβδομάδων και εκπαίδευση σε μονάδες ετοιμότητας διάρκειας 12 εβδομάδων.
Μετά την ολοκλήρωση του κύκλου αυτού, ο πλήρως εκπαιδευμένος στρατιώτης εντάσσεται στην εφεδρεία, στο πλαίσιο ενός αναβαθμισμένου συστήματος μετεκπαίδευσης και ενεργού εθελοντή εφέδρου.