Η νέα τάξη πραγμάτων και όλα τα «σκοτεινά υποκείμενα» που την εκπροσωπούν προσπαθούν εδώ και πολλά χρόνια να δημιουργήσουν προγράμματα για τον έλεγχο του ανθρώπινου νου, με σαφή σκοπό τον έλεγχο του ανθρώπινου γένους.
Το σχέδιο αυτό είναι είναι η κορονίδα των άνομων προσπαθειών τους μαζί με το σχέδιο που αφορά τον έλεγχο της διατροφής των ανθρώπων, για την μείωση ενός μεγάλου μέρους της ανθρωπότητας από τους « μισάνθρωπους».

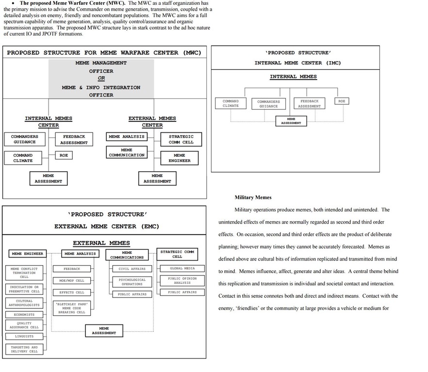
Πρόσφατα εμφανίστηκαν έγγραφα της CIA τα οποία αποκαλύπτουν ότι ο αμερικανικός στρατός έχει δημιουργήσει ένα ειδικό τμήμα εντός των δυνάμεων του με την επωνυμία «Meme Warfare» , το οποίο είναι επιφορτισμένο με τον έλεγχο του ανθρώπινου νου, του αμερικανικού πληθυσμού.
Σύμφωνα με τα έγγραφα, οι ένοπλες δυνάμεις των ΗΠΑ, μπορεί να χρησιμοποιήσουν διάφορες μεθόδους ελέγχου του νου των Αμερικανών για να κερδίσουν πολέμους και να επηρεάσουν τον γενικό πληθυσμό.
Σε ένα έγγραφο που δημοσιεύθηκε το 2005 από τον Michael B. Prosser, ο στρατός των ΗΠΑ είναι σε θέση να εξοπλίσει «ειδικούς», προκειμένου να «νικήσουν την εχθρική ιδεολογία και να επιβληθούν πάνω από τις μάζες».
Για τον σκοπό αυτόν έχει δημιουργηθεί το «Meme Warfare Center», το οποίο είναι επιφορτισμένο με την παροχή συμβουλών στον εκάστοτε Αμερικανό Πρόεδρο για την παραγωγή, μετάδοση και λεπτομερή ανάλυση σχετικά με τον εχθρό, σε άμαχους πληθυσμούς.
Οι στρατιωτικές επιχειρήσεις παράγουν τα αποκαλούμενα «memes» για να επιτύχουν τον σκοπό τους και να επηρεάσουν τον άμαχο πληθυσμό .
Ως «memes» ορίζοντα όλα τα κομμάτια των πληροφοριών τα οποία θα αναπαράγονται και θα μεταδίδονται από ανθρώπινο νου σε ανθρωπινό νου (δεν μας λένε το πώς όμως αλλά αυτοί κάτι θα γνωρίζουν).
Τα μιμίδια δηλαδή αποτελούν θεμελιώδεις φορείς πολιτισμικής κληρονομιάς (τραγούδια, τρόποι συμπεριφοράς, μόδα, επιστημονικές ιδέες, θρησκευτικές πεποιθήσεις/δοξασίες, κτλ), οι οποίες μεταδίδονται από το ένα άτομο στο άλλο, επηρεάζοντας λαούς ολόκληρους όπως την περίοδο για παράδειγμα των 80ς .
Το κεντρικό θέμα πίσω από αυτή την αναπαραγωγή είναι η μετάδοση πληροφοριών μέσω των κοινωνικών επαφών και της αλληλεπίδρασης.

Υπενθυμίζουμε ότι ο πρώην Αμερικανός πρόεδρος Μπίλ Κλίντον, είχε ζητήσει "συγνώμη" από τα θύματα διάφορων παρόμοιου τύπου ερευνών.
«Χιλιάδες πειράματα επιχορηγημένα από την κυβέρνηση πραγματοποιήθηκαν σε νοσοκομεία, πανεπιστήμια και στρατιωτικές βάσεις σε όλο το έθνος μας. Μερικά ήταν αντιδεοντολογικά όχι μόνο με τα σημερινά πρότυπα, αλλά και με τα πρότυπα της εποχής στην οποία έγιναν.
Απέτυχαν μαζί και στη δοκιμασία των εθνικών μας αξιών και στη δοκιμή του ανθρωπισμού. Οι Ηνωμένες Πολιτείες της Αμερικής προσφέρουν μια ειλικρινή συγγνώμη σε εκείνους τους πολίτες μας που υποβλήθηκαν σε αυτά τα πειράματα, τις οικογένειές τους και τις κοινότητές τους. Όταν η κυβέρνηση κάνει λάθος έχουμε την ηθική υποχρέωση να το παραδεχτούμε», δήλωσε ο Κλίντον.
Υπάρχουν έρευνες για το ίδιο θέμα με τσιπς που κατασκευάζονται με νανοτεχνολογία και τοποθετούνται σαν εμφυτεύματα σε διάφορα σημεία, μέσα ή γύρω από τον εγκέφαλο.
Αυτά συνδέονται με υπολογιστές και έτσι έχουμε μια διασυνδεδεμένη νοητικά ομάδα ανθρώπων και υπολογιστών. Τα πειράματα αυτού του τύπο ξεκίνησαν 2001.
Οι έρευνες των επιστημόνων σχετικά με τον έλεγχο του ανθρώπινου εγκεφάλου, υλοποιούνται και εξελίσσονται τόσο ταχύτατα που οι άνθρωποι και οι νομικοί φορείς προστασίας των δικαιωμάτων δεν προλαβαίνουν να ενημερωθούν.
Η ουσία όμως είναι ότι στην ζωή αυτή «δίνομε εξετάσεις» κατά τον γέροντα Παΐσιο, για το αν είμαστε άξιοι να ζήσομε σαν παιδιά του Θεού μαζί Του στην αιωνιότητα, στον νέο πνευματικό πλέον Παράδεισο, στην επουράνια Ιερουσαλήμ. Αλλά εκεί μόνο ελεύθερα όντα μπορούν να μπουν. Για αυτό οφείλουμε να έχουμε τα μάτια και τα αυτιά μας "ορθάνοικτα".
https://youtu.be/bF2XjjW_I_M
https://youtu.be/SrA4ibNOxdY?t=2